Перейти на главную страницу справочника.
Расчёт трёхслойных совмещённых обмоток с последовательным соединением фаз №18.
| Прежде чем начинать расчёт совмещённых обмоток, выполните пересчёт обычной (старой) обмотки. 1. Соединение фаз в звезду. 2. Число параллельных ветвей а=1. (В совмещённой обмотке число параллельных ветвей будет а=1/1) 3. Пересчитать на однослойную обмотку. Пересчитать число витков в пазу при изменении среднего шага обмотки. |
Записываем данные обычной (старой) обмотки.
| Sс | Сечение провода старой обмотки. |
| Nс | Количество витков в пазу старой обмотки. |
| Sc×Nc | Заполнение паза в старой обмотке. |
| Wс | Количество витков в фазе старой обмотки. |
Расчёт витков в пазу основной и совмещённой обмотках.
- Расчёт витков в пазу основной обмотки. NY - количество витков в пазу основной обмотки. Nс - количество витков в пазу старой обмотки.
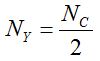
- Число витков в фазе основной обмотки в два раза меньше числа витков фазе старой обмотки.
- Расчёт витков в пазу совмещённой обмотки. NΔ - количество витков в пазу совмещённой обмотки. NY - количество витков в пазу основной обмотки.
Расчёт сечения провода основной и совмещённой обмоток.
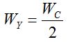
- Расчёт сечения провода в основной обмотке. SY - сечение провода основной обмотки. Sс - сечение провода старой обмотки.
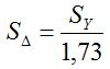
- Расчёт сечения провода в совмещённой обмотке. SΔ - сечение провода совмещённой обмотки. SY - сечение провода основной обмотки.
- Проверить заполнение паза новой обмотки двигателя со старой обмоткой по формуле.
