Перейти на главную страницу справочника.
Электродвигатели с совмещёнными обмотками.
Обмотка двигателей с совмещёнными обмотками может быть однослойной, одно-двухслойной, двухслойной и трёхслойной с диаметральным или укороченным шагом.
Схемы укладки двигателей с совмещёнными обмотками для замены обычных обмоток.
| Число пазов | Обороты в минуту | ||||||
| 3000 | 1500 | 1000 | 750 | 600 | 500 | 375 | |
| 12 | ✔ | ✔ | |||||
| 18 | ✔ | ✔ | ✔ | ||||
| 24 | ✔ | ✔ | ✔ | ✔ | |||
| 27 | ✔ | ✔ | |||||
| 30 | ✔ | ✔ | ✔ | ✔ | ✔ | ||
| 36 | ✔ | ✔ | ✔ | ✔ | ✔ | ✔ | |
| 42 | ✔ | ✔ | ✔ | ✔ | |||
| 45 | ✔ | ||||||
| 48 | ✔ | ✔ | ✔ | ✔ | ✔ | ✔ | ✔ |
| 54 | ✔ | ✔ | ✔ | ✔ | ✔ | ✔ | ✔ |
| 60 | ✔ | ✔ | ✔ | ✔ | ✔ | ✔ | ✔ |
| 72 | ✔ | ✔ | ✔ | ✔ | ✔ | ✔ | ✔ |
| 96 | ✔ | ✔ | ✔ | ✔ | |||
Совмещённые обмотки с параллельным соединением фаз.
Схема соединений совмещённых обмоток с параллельным соединением фаз.
Совмещённые обмотки с последовательным соединением фаз.
Схема соединений совмещённых обмоток с последовательным соединением фаз.
Составление схем укладки для совмещённых обмоток на основе шестифазных схем укладки.
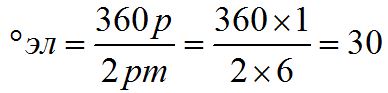
- Совмещённые обмотки выполняются по схемам укладки шестифазных электродвигателей, в которых первые три фазы соединяются в звезду, а четвёртая пятая и шестая фазы в треугольник. Данная обмотка подключается к трёхфазной сети, поэтому требуется соответствующий пересчёт обмоточных данных. Ширина сплошной фазной зоны в шестифазных обмотках 30 электрических градусов.
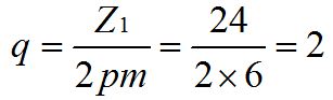
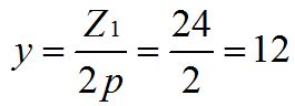
- Для примера выполним расчёт шестифазной обмотки для электродвигателя 3000 об/мин, Z1=24.
Ширина сплошной фазной зоны шестифазной обмотки в электрических градусах:
Число пазов на полюс и фазу и количество пазов в сплошной фазной зоне шестифазной обмотки:
Диаметральный шаг по пазам:
- На Рис. 1 схема укладки шестифазной равносекционной однослойной обмотки. Средний шаг по пазам диаметральный. Катушка №1 = Первая фаза, Катушка №3 = Вторая фаза, Катушка №5 = Третья фаза, Катушка №2 = Четвёртая фаза, Катушка №4 = Пятая фаза, Катушка №6 = Шестая фаза.
- Что бы подключить выше показанную шестифазную обмотку к трёхфазной сети и сохранить при этом направление мгновенных значений тока в фазных зонах и полюсах, нужно изменить начало фаз по пазам в четвёртой, пятой и шестой фазах т.е. в катушках №2, №4 и №6.
- На Рис. 2 схема укладки равносекционной трёхфазной однослойной совмещённой обмотки. Средний шаг по пазам диаметральный. Катушки с нечётными номерами №1, №3 и №5 соединяются в звезду, это основная обмотка. Катушки с чётными номерами №2, №4 и №6 соединяются в треугольник, это совмещённая обмотка. Далее потребуется соответствующий пересчёт обмоточных данных.
Так как ширина сплошной фазной зоны в шестифазных обмотках 30 электрических градусов, то и сдвиг между основной и совмещённой обмоткой всегда будет 30 электрических градусов.
- Если у выше показанной схемы последовательно соединить катушки №1 с №2, №3 с №4, №5 с №6, получится обычная трёхфазная обмотка с диаметральным шагом.
Составление схем укладки для совмещённых обмоток на основе пространственного сдвига обмоток.
- Для уменьшения вылета лобовой части и экономии провода лучше использовать обмотку вразвалку. Для примера возьмём схему укладки однослойной обмотки вразвалку 1500 об/мин, Z1=36 с шагом у=9;7+7.
- Число пазов на полюс и фазу q=3.
Для расчёта числа пазов сдвига обмоток нужно число пазов на полюс и фазу разделить на 2:
- Сдвиг совмещённой обмотки от основной в данном случае мы можем выполнить на один или два паза.
Схема укладки двухслойной совмещённой обмотки, при сдвиге обмоток на один паз.
Расширение фазной зоны на один паз.
Схема укладки двухслойной совмещённой обмотки, при сдвиге обмоток на два паза.
Расширение фазной зоны на два паза.
- Для обычных обмоток 1500 об/мин, Z1=36 рекомендуемое производителем расширение фазной зоны как на один, так и на два паза. Чем больше число пазов расширяющих фазную зону, тем ближе кривая магнитного потока к синусоиде, но чрезмерное увеличение числа пазов расширяющих фазную зону ведёт к ухудшению КПД, поэтому придерживаемся рекомендаций производителей электродвигателей.
- Для нахождения числа пазов расширяющих фазную зону рекомендованных производителем, нужно число пазов на полюс и фазу разделить на 2:
Недостатки совмещённых обмоток.
- У совмещённых обмоток наблюдается уменьшение пускового тока и при частых пусках электродвигателя даёт экономию электроэнергии. Но это не является достоинством, а наоборот говорит о главном недостатке совмещённых обмоток. Из-за разброса параметров в обмотках звезды и треугольника, в момент перегрузки происходит перераспределение магнитных потоков. В соединении звезда магнитный поток и ток уменьшаются, а в соединении треугольник магнитный поток и ток увеличиваются, так как обмотка соединённая в треугольник не может пропустить ток больше допустимого по сечению провода и происходит снижение пускового тока.
- При аварийной перегрузке электродвигателя обмотка, соединённая в треугольник загружена больше чем обмотка соединённая в звезду и сгорает из-за недопустимой плотности тока в проводе.
- Для выполнения защиты обмотки с параллельным соединением фаз, приходится внутреннее соединение звезды и треугольника не делать, а шесть выводов звезды и треугольника присоединять к клеммной колодке. Ток тепловых реле FP1 и FP2 должен соответствовать 50% от номинального тока электродвигателя.


07.12.2014 г.









